JACAN Equipment
Surface Modification
Precision Processing for High-Purity Quartz & Silica Powder
Surface modification is critical for enhancing silica powder value. By integrating surface chemical modification, coating modification, and mechanochemical modification, we transform particle surface properties through directional molecular design. This strengthens the bond between powder and polymer matrices, providing superior interfacial compatibility and functional performance for electronics, coatings, and composites.
Targeted Interfacial Molecular Design
Tailored for matrices like epoxy, polyester, or rubber, we utilize precision coating processes to form uniform functional layers on quartz surfaces. This molecular-level design transforms particles from hydrophilic to lipophilic, significantly enhancing dispersibility and loading stability in organic systems, ensuring high reliability of the final materials.
Superior Electrical & Moisture Resistance
Through surface activation, modified silica powder effectively reduces the water absorption of composites, enhancing dielectric stability in high-temperature and high-humidity environments. For EMC and CCL industries, this modification is key to ensuring low dielectric constants and high insulation strength, effectively preventing circuit failure.
Performance Breakthrough & Process Optimization
Surface modification provides stronger mechanical reinforcement and significantly lowers oil absorption and system viscosity. This allows for superior fluidity even at high loading rates, helping clients optimize production processes and reduce resin costs while achieving products with lower CTE and enhanced dimensional stability.
JACAN Equipment
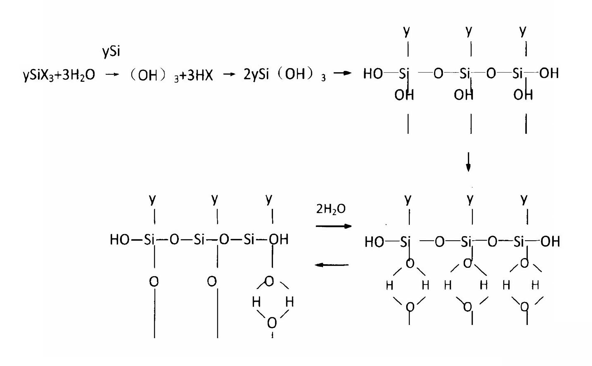
Interfacial Activation & Modification Mechanisms for Quartz & Silica Powder
Leveraging the high specific surface area of ultrafine Quartz & Silica Powder to activate chemical bonding between surface groups and functional groups for precise performance optimization.
Surface Activation & Bonding Foundation
The modification efficiency of Quartz & Silica Powder is tied to its fineness. Finer particles offer higher specific surface area and more active hydroxyl groups, increasing chemical potential. During crushing, surfaces generate active groups like Si-OH and Si-O-Si, providing the chemical foundation for bonding with external functional groups to enhance performance.
Process Regulation & Optimization
Achieving modification goals relies on precise parameter regulation. Reaction temperature, modifier selection, and dosage are key to interfacial coating quality. Furthermore, the processing methods directly impact the dispersibility and compatibility of Quartz & Silica Powder in final applications. Through parameter optimization, we ensure exceptional and consistent results for every batch.
JACAN Equipment
High-Speed Mixing for Surface Modification
A batch system designed for high-temp reactions, achieving superior interfacial activity for Quartz & Silica Powder via precision temperature control.
Precision Process Control
Equipped with precision heating and timing, the system regulates reaction temperature and duration. This ensures stable reactions for Quartz & Silica Powder, enhancing product consistency.
Clean-Grade Non-Metallic Protection
Advanced ceramic linings eliminate secondary metal contamination. This ensures Quartz & Silica Powder maintains peak physical and chemical purity throughout the modification process.
Supporting Equipment
Superior Coating Uniformity
Precision feeding and quantitative spraying ensure uniform molecular-level coating on Quartz & Silica Powder, significantly improving its dispersibility in downstream resin systems.
Versatile Industry Adaptability
This flexible process achieves ideal activation for Quartz & Silica Powder of varying fineness. It perfectly meets precise modification needs in electronics and chemical sectors.
JACAN Equipment
Modifier Selection: Performance & Process Optimization for Quartz & Silica Powder
Common Modifiers & Grade Classification
Common modifiers for Quartz & Silica Powder include silane, aluminate, and titanate coupling agents, with surfactants like fatty acids and CTAB also used in industry. While fatty acids offer low cost and simple processing, their weaker interfacial bonding limits them to general-purpose industrial grades with lower performance requirements.
Chemical Bonding & Cost-Efficiency
Silane coupling agents form high-energy, stable Si-O-Si bonds with Quartz & Silica Powder, offering peak performance at a higher cost. Aluminate and titanate agents are more affordable but form weaker chemical bonds due to larger ionic radii. For electronic-grade applications requiring superior electrical properties and durability, silane remains the indispensable standard.
Key Process Conditions & Limitations
Specific process conditions are vital: aluminate and titanate modification must remain water-free, often using organic solvents to prevent emulsification. Conversely, silane coupling agents require precise hydrolysis to form effective chemical bonds with Quartz & Silica Powder. These process differences directly dictate the design and operational environment of the modification system.
JACAN Equipment
Future Trends: Surface Modification Directions for Quartz & Silica Powder
Ultrafine & Nano-scale Applications
Quartz & Silica Powder is moving toward ultrafine and nano-scales. Nano-sized powders offer superior transparency, thixotropy, and insulation in films and coatings. Despite agglomeration challenges, their uniqueness in high-end materials drives the industry toward deeper research in ultrafine modification.
Tailored "One-Material-One-Solution"
Demand for application-specific Quartz & Silica Powder is rising. Modification processes must precisely match coupler formulas to downstream matrices like PE or rubber. Future efforts will focus on tailored parameters for specific scenarios to maximize synergistic performance between powders and matrices.
Multi-functional Modifier Development
Modifier technology for Quartz & Silica Powder is evolving toward higher efficiency and multi-functionality at lower costs. New modifiers will offer stronger interfacial activity and broader applicability, providing dispersion, toughening, and antioxidant functions within a single process.
Industrial Scaling & High-End Transition
Preparation technologies for ultrafine and spherical Quartz & Silica Powder are becoming more cost-effective. Equipment upgrades will drive large-scale industrialization of advanced modification, empowering the industry to unlock greater potential in global high-end sectors like semiconductors and aerospace.

